











目录:
第一节 铲土运输机械
第二节 挖掘机与装载机

一、推土机
二、铲运机
三、平地机

一、推土机
特点:作业面小,机动灵活,转移方便,短距离运土效率高,干湿地可独立作业,配合其他机械作业。
主要用途:
铲挖、移运
平整场地、清除树根
基底处理、侧培填低矮路堤
移挖作填、拌合场站堆集填料
耙松土壤(辅助)、顶推助铲


(一)推土机的分类
分类依据:牵引爬坡、切土深度、工作环境适应(湿软沼泽地、爆破挖运、冻土,深水海底)、灵活转场(行走便捷和速度)、振动噪音。


(二)适用条件
铲刀容量限制--适用短距离运土作业(否则,漏失或频繁转向换档)。
小型30-100m,大型不超过150m,经济运距50- 80m。
作业方式:直铲作业、侧铲作业(适用于Ⅳ以下的土,推Ⅳ或Ⅳ以上的土,必须先松土——松土器)、斜铲作业、松土器劈开。
(三)生产率的计算
铲推作业

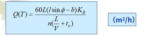
平整场地

式中相关参数包括:平整地段长度L,推土板长度l ,重复次数n,运行速度,重叠宽度 b,转向时间tn 和回转角Φ。
(四)生产率的提高途径
缩短循环作业时间 (使送土和回程距离最短,创造下坡运土条件,工艺流程的配合,操作中充分利用下刀和提刀时间等);
合理选择机型(有机配合,充分利用发动机功率等);
提高时间利用率(消除不必要的非生产时间);
降低漏损(双机作业、 土槽运土、 增大推土板等)。
(五)发展
履带式占主体,超压超低压轮胎式(增加附着能力,降噪);
扩大电子控制技术的应用(发动机、离合器转向,监测系统,模拟遥控、信息处理),提高作业性能、可靠性、操纵舒适性、维修保养;
环境保护(噪音、排气)、油耗等。
二、铲运机
用途:主要用于较大的运距的土方工程。(100~2000m)
如:
铺筑路堤
开挖路堑
移运土方
大面积的平整场地或填平洼地
铲除土丘等。
它自身能完成铲装、运输和卸铺连续作业环节,并兼有一定的压实和平整功能。



铲运机的分类:
分类依据:行走方式、装卸效率、铲斗容量、操纵方式等。


适用范围:
取决于运距、机种、运输材料性质、道路状况、地形、效率等。多应用于Ⅰ、Ⅱ级土。
经济运距:斗容量大小有关,100-1500m
生产效率:

影响参数主要考虑:斗容量、斗充满系数、时间利用系数、土的松散系数、一个工作循环所用时间。
土、石的工程分级
依据:土以钻1m深所需时间为分级依据;石质土以爆破1m3所需炮眼长度(m)定级。
Ⅰ:松土
Ⅱ:普通土
Ⅲ:硬土
Ⅳ:软石
Ⅴ:次坚石
Ⅵ:坚石
另有专门的岩石分级表(依据:钻进难度、岩石极限抗压强度)
三、平地机
装有刮土刀,进行刮平和整型连续作业的工程机械。
可配备其他多种装置,进行其他形式的作业。

(一)功能和特点
可连续改变刮刀的平面角和倾斜角、向两侧引伸和抬起,可连续进行大面积铲土、运土、刮削作业。
(二)主要用途
路基:
路线两侧取土
整修横断面
开挖边沟及路槽
刮削边坡
路基整形
基层:摊铺基层
养护:冬季道路除雪

(三)平地机的分类

整体式机架(传统型)——整体刚度大,但转弯半径大(不方便);
铰接式机架(新型)——更灵活,作业面大,转弯半径小。
附属装置:耙土器、松土器、推土铲等。
工作方式:刮刀的四种运动


(四)生产率的计算
以修整路型为例
三道工序:铲土、运土、整平。

一、挖掘机
公路工程中用于挖掘和装载土、石、砂砾和散粒的重要机械。





(一)挖掘机的分类

(二)挖掘机的适用范围
不同的装置类型适宜不同的挖掘条件(高位或地位,挖沟或松土或开挖河道,,或不同的土壤坚松)。
开挖 Ⅰ~Ⅳ级土(松土、普通土、硬土、软岩)
松动的Ⅴ以上的土(次坚岩、坚岩)
如:开挖路堑,场外取土(结合运输车辆)


(三)生产率的计算

相关参数:斗容量 q , 每小时挖土的次数 n,时间利用系数 KB, 铲斗充满系数Kh,土松散系数 Ks。
取决于斗容量、工作速度、土的性质。
(四)生产率的提高途径
1、施工组织设计
A:运输能力与挖掘能力配套——消除等车现象
B:双放法施工
C:进出车辆不要干扰
2、技术操作
A:驾驶员熟练程度——缩短工作循环时间
B:机械状态——斗齿锋利状况
二、装载机
一种高效的铲土运输机械,具有推土、装载上料、铲掘的功能,(改换装置)还可进行推运、整平、牵引、起重功能。
特点:应性强、效率高、操作简单。

(一)装载机的分类

(二)装载机的适用范围
取决于使用场所、土石特性、工作环境及配套机械,工地上多用装车、上料、临时运输。
注意问题:
1.经济运距——铲、运、装作业循环不大于3min
2.斗容量与汽车车厢容积匹配
3.装载方法
V型——运输车辆不动,装载机前进取料,后退、转向、装车
穿梭式——装载机和运输车分别前进和后退取料装车
(三)生产率的计算


(四)发展
结构合理化、技术先进,提高效率,操作安全可靠舒适。
机电液一体化、电子化、智能化、多功能化,多品种多用途化方向发展。
来源:百度文库
以上内容来源于网络收集整理,如有侵权请联系客服